亚洲博彩平台排名

我区科研团队在风能资源利用领域取得最新成果

发布日期:2022-09-26 09:37

来源: 亚洲博彩平台排名基础研究处

朗读

内蒙古作为新能源大区在风能利用方面走在全国前列。在自然风况中,风速、风向等因素的变化对风力机的性能影响很大,因此,开展相关领域基础研究对风力机的设计和运行优化十分必要。近日,内蒙古工业大学能源与动力工程学院汪建文教授科研团队的博士生赵爽在国际期刊《能源》(Energy)上发表了以“短时匀速变风向工况下动态偏航风力机转速及气动特性研究”(Research on the rotor speed and aerodynamic characteristics of a dynamic yawing wind turbine with a short-time uniform wind direction variation)为题的最新研究成果。

变风向过程中叶片表面流动状态

该研究依托“风能太阳能利用技术教育部重点实验室”和“亚洲博彩平台推荐风能太阳能利用机理及优化重点实验室”(以下简称“实验室”)资源,并得到国家自然科学基金项目“风向变化对风力机动态叶片气动载荷影响分析”和自治区重大基础研究开放课题项目的资助。

不同尖速比及风向角变化率下风力机转速特性曲线

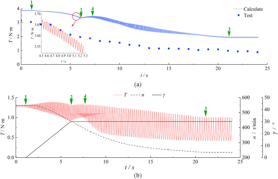
科研团队充分发挥实验室可开展风洞实验的优势,利用风洞搭载动态偏航实验台,首次得到了匀速风向变化工况下风力机的动态输出特性,并结合当前通用的大型计算流体力学软件Fluent,对风力机叶片的动态载荷特性及流动特性进行了深入研究。

变风向过程中叶片和风轮的扭矩变化曲线

由风向变化引起的动态偏航是风力机的重要运行工况。由于缺乏相应的实验数据,现有的研究均假设转子速度和叶片桨距角是恒定的,无法反映风力机在短时间风向变化中的实际工作状态。科研团队通过实验发现,当风向短时、连续地发生变化时,风力机风轮的转速会下降,最终稳定转速与初始尖速比有关,稳定时间与风向变化率有关。在此基础上,科研团队利用数值模拟得到的研究结果表明,基于转速不变假设进行的动态偏航数值模拟会高估风轮的平均扭矩,低估扭矩的波动幅度。不断下降的转速会导致叶片叶素入流攻角大幅波动,从而使叶根区域叶素截面轴向和切向载荷曲线的相对波动幅度更大,还使气动载荷的波动频率变为原来的两倍,这些不仅改变了叶片的性能,还会影响叶片工作的可靠性,减少叶片的使用寿命。

论文链接:https://www.sciencedirect.com/science/article/abs/pii/S0360544222004832


正规博彩平台 澳门博彩平台推荐 世界杯压球官方网站 澳门赌博平台 澳门新葡京娱乐城 黄南藏族自治州科技局 来宾市林业局 永州水利网 广东省自然资源厅 果洛藏族自治州科技局